Рассмотрим модель слоистообразного облака в виде бесконечно протяженного и однородного по горизонтали слоя большой оптической толщины 0>>1 (рис.2.1). На первом этапе будем считать облачный слой однородным также и в вертикальном направлении. Будем использовать для описания облачного слоя объемные коэффициенты рассеяния a и поглощения k, связанные с характеристиками облака: +0/z, 00/z, 0(1-0)/z. Облачный слой опирается на подстилающую поверхность с альбедо A. Относительная интенсивность отраженной и пропущенной слоем радиации (соответственно на верхней и нижней границах слоя) в единицах потока S, падающего на верхнюю границу слоя, описывается коэффициентами отражения (0,,,) и пропускания (0,,,).
Основные формулы
В облачном слое на достаточно большой оптической глубине вследствие многократного рассеяния устанавливается так называемый асимптотический, или диффузный радиационный режим, допускающий простое математическое описание , . Из физических соображений вытекает, что свойства диффузного режима заключаются в следующем: 1) роль прямой радиации (прошедшей без рассеяния) пренебрежимо мала по сравнению с ролью рассеянной радиации; 2) интенсивность радиации не зависит от азимута; 3) относительное угловое распределение интенсивности не зависит от оптической глубины . Название “диффузный” появилось потому, что уравнение переноса излучения в этом случае преобразуется в уравнение диффузии . В рассеивающем слое большой оптической толщины оказывается возможным аналитическое решение уравнение переноса, выражающееся асимптотическими формулами теории переноса излучения , , причем доказано существование и единственность этого решения . Это решение для коэффициентов отражения и пропускания имеет вид:
(2.2.1)
где (,) – коэффициент отражения полубесконечной среды (=); u() – функция выхода, которая описывает угловую зависимость интенсивности радиации в отсутствии отражения радиации на нижней границе облака; () – та же функция выхода, но с учетом отражения: A0; черта сверху обозначает учет альбедо подстилающей поверхности; величины M, N, и k – константы, определяемые свойствами рассеивающего слоя. Формулы для их вычисления приведены ниже. Учет альбедо подстилающей поверхности (связь между величинами u(), (), Q, , N и ) производится с помощью следующих формул , ,
(2.2.2)
где
Видно, что эти формулы несимметричны относительно переменных и , которые входят через функции выхода u() и (). Это связано с различными граничными условиями на верхней и нижней границе. Верхняя граница свободная, и ее можно считать абсолютно поглощающей радиацию, идущую снизу, а нижняя граница частично отражает падающую на нее радиацию. Таким образом, каждая из них порождает свой асимптотический угловой режим u() и () и свою асимптотическую константу N и .
Будем рассматривать полусферические потоки рассеянного солнечного излучения в относительных единицах солнечного потока S, приходящего на верхнюю границу облачного слоя. Пока не будем учитывать слои атмосферы над облаком и под облаком. Ниже покажем возможность учета надоблачного слоя атмосферы. Подоблачный слой атмосферы учитывается величиной альбедо системы подоблачная атмосфера – подстилающая поверхность.
Для полусферических потоков рассеянной радиации, выходящей из облачного слоя, согласно определениям (1.1.6), получаются следующие формулы
(2.2.3)
где
(2.2.4)
Поглощение радиации (в другой терминологии лучистый приток) в слое оптической толщины t0 рассчитывается по формуле
(2.2.5)
Случай слабого истинного поглощения солнечной радиации
В облачных слоях, где рассеяние радиации очень сильное, истинное поглощение в видимой области спектра можно полагать слабым по сравнению с рассеянием: 1-0<<1. В этом случае функции и константы, входящие в формулы (2.2.1) – (2.2.5) описываются разложениями по малому параметру s, где s2=(1-0)/[3(1-g)] и g – параметр вытянутости индикатрисы рассеяния Хеньи-Гринстейна , , , . Для констант k, M, N, a имеем следующую группу формул , , , : ,
(2.2.6)
где введено обозначение
Для функций, входящих в формулы для потоков и интенсивностей (2.2.1) и (2.2.3) справедливы следующие разложения , , :
(2.2.7)
где u0(), 0(,) - значения функций u() и (,) в консервативном случае (0 = 1) функции u2() и a2() - коэффициенты при s2, имеют свое табличное и аналитическое представления , , , . Асимптотические разложения (2.2.6) и (2.2.7) получены математически строго, и их погрешность определяется членами рядов ~s3 или ~s4, отбрасываемыми в этих разложениях.
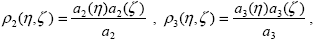
Коэффициенты при s2 и s3 в разложении для функции (,) получены в работе и имеют вид
(2.2.8)
где a2 , a3, a2() и a3() коэффициенты при s2 и s3 в разложениях (2.2.6) для сферического a.и (2.2.7) для плоского альбедо a() соответственно.
Следуя монографии , где показано, что при консервативном рассеянии и значениях 0,65 g 0,9 с точностью 2-3% можно пренебречь зависимостью функции выхода u0() от индикатрисы рассеяния, приведем соответствующую таблицу значений :
Таблица 2.1.
Значения функции u0() для облачных слоев
Приближенное выражение, аппроксимирующее функцию u0(), предложено в и справедливо с погрешностью 3%, если z > 0,4: u0() = 0,5 + 0,75. В монографии и в статье [1], приведены результаты расчетов функции выхода u() для набора значений параметра g индикатрисы рассеяния и альбедо однократного рассеяния 0. Анализ этих численных результатов дает следующую аппроксимацию для функции u0() с учетом зависимости от индикатрисы рассеяния:
u0() =(0,7678 + 0,875g) + 0,5020 − 0,840g .
(2.2.9)
Коэффициент корреляции этой формулы с точной зависимостью функции выхода u() составляет 0,99 – 0,93 в зависимости от величины параметра g.
В монографии [8] было предложено аппроксимировать функцию u2() выражением u2()=Q2u0()w(), при этом функция w() задана таблично и
Q2 = 1,58 + 3g – 2/(1+g) .
(2.2.10)
Численный анализ табличного представления результатов функции u(), полученного на основании точных численных расчетов в работе [1], , привел к аналитическому представлению функции u2() :
u2()=Q2u0()w()=1,667Q2(2+0,1) .
(2.2.11)
В работе было получено простое приближенное выражение для a2(), а учет результатов работы дал возможность получить представление для функции a3() :
.
(2.2.12)
Интегрирование выражения для a2() по переменной z приводит к точной величине a2=6 с погрешностью менее 0,4%. В таблице 2.2 приведены значения функции a2(), рассчитанные для 4-х величин параметра индикатрисы рассеяния g.
Таблица 2.2.
Значения функции a2(z) для (0,75£g£0,9) z
Упомянем также, что в случае учета отражения радиации подстилающей поверхностью с альбедо A, коэффициенты функции выхода преобразуются по формулам :
(2.2.13)
где обозначено:
Аналитическое представление коэффициента отражения
Следующая группа формул – аппроксимации, полученные на основе анализа табличных значений функции (,) и опубликованные в работах , [1], . Представим коэффициент отражения полубесконечного слоя, согласно выражению (1.4.9) в виде разложения по косинусу азимутального угла. Результат расчетов значений функции (,) численным методом [2], [3], показывает, что для весьма точного расчета коэффициента отражения при описании индикатрисы формулой Хеньи-Гринстейна достаточно учитывать нулевую гармонику и шесть первых гармоник для зенитных углов arccosh и arccosz не превосходящих 80°, даже в случае сильно вытянутой вперед индикатрисе с параметром g = 0,9. Для описания гармоник коэффициента отражения m(,) с m=0,…,6 будем применять выражение, аналогичное предложенному для нулевой гармоники в монографии :
(2.2.14)
Такое представление обеспечивает выполнение принципа взаимности относительно направлений освещения и наблюдения. Анализ численных значений функции отражения m(,,) приводит к значениям коэффициентов am, bm и cm, представленным в таблицах 2.3 и 2.4.
Таблица 2.3.
Линейная аппроксимация для коэффициентов am, bm и cm в формуле (2.2.14) нулевой, первой и второй азимутальных гармоник коэффициента отражения
Для случая изотропного и консервативного рассеяния (g=0 и 0=1) известно простое выражение для нулевой гармоники коэффициента отражения :
(2.2.15)
где () – функция Амбарцумяна, для которой было получено приближенное выражение ()=1,874 +1,058 , с коэффициентом корреляции 0,999. Известно, что для значений углов arccos и arccos меньше 70° нулевая гармоника коэффициента отражения мало отличается от изотропного случая, поэтому можно расширить область применимости, видоизменив выражение (2.2.14) следующим образом :
(2.2.16)
В случае использования формулы Хеньи-Гринстейна высшие гармоники оказываются близки к нулю (m(,)0, m>0), если хотя бы одно из значений косинусов зенитных углов или больше некоторого предельного значения limit. Величины limit различны для гармоник с различным номером и указаны в таблицах 2.3 и 2.4.
Таблица 2.4.
Степенная аппроксимация для коэффициентов am, bm и cm в формуле (2.2.14) 3-ей, 4-ой, 5-ой и 6-ой азимутальных гармоник коэффициента отражения m 0,3 g 0,9
Формула (2.2.14) вместе с аппроксимациями коэффициентов am, bm и cm согласно таблицам 2.3 и 2.4 обеспечивают вполне приемлемое для большинства задач атмосферной оптики представление коэффициента отражения. Погрешности предложенной аппроксимации зависят от условий освещения и наблюдения (величин и ), номера гармоники и значений параметра индикатрисы рассеяния g. Подробнее точность предложенного представления функции отражения полубесконечной среды проанализирована в работе [17]. Отметим, что для значений g 0,75 и , > 0,02 погрешности получаются меньше 2%. При значениях g=0,8‑0,9 погрешности оказываются менее 3%, если хотя бы одно из значений или больше 0,3 и погрешность меньше 10% для произвольных значений и . Первая и вторая гармоники аппроксимируются с погрешностью, не превышающей 1 – 2% для значений параметра g < 0,8, если хотя бы одна из величин или больше 0,12.
Приведенная совокупность строгих асимптотических формул (2.2.1) ‑ (2.2.13) и аппроксимирующих выражений (2.2.14) ‑ (2.2.16) позволяет рассчитать потоки или интенсивности рассеянной коротковолновой солнечной радиации, отраженной и пропущенной однородным облачным слоем большой оптической толщины, если заданы оптические свойства слоя и геометрия задачи – направления падения солнечных лучей и направление визирования. При этом задаваемая модель должна удовлетворять области применимости приведенных выше формул: большая оптическая толщина и слабое истинное поглощение. Более подробно на том, что подразумевается под этими понятиями, мы остановимся ниже при рассмотрении погрешностей метода и его области применимости.
Поле рассеянной солнечной радиации внутри облачного слоя
Характеристики радиации внутри рассеивающего слоя описываются формулами, отличающимися от выражений, приведенных выше. Соответствующий подробный анализ проведен в , . Приведем здесь результаты, необходимые для дальнейшего рассмотрения.
Интенсивность (в абсолютных единицах) рассеянной радиации внутри слоя на оптической глубине , удовлетворяющей условиям >>1 и 0 – >>1, выражается формулой, получаемой на основании результатов
(2.2.17)
где S – солнечная постоянная; – оптическая глубина. Здесь введена новая функция i(), характеризующая угловую зависимость интенсивности излучения в глубоких слоях полубесконечной среды. Поведение функции i() в зависимости от формы индикатрисы рассеяния и поглощения в среде исследовано в работе . В случае слабого истинного поглощения для нее в работе найдено разложение по малому параметру, которое здесь мы приведем в терминах параметра s
(2.2.18)
здесь Pi() - полиномы Лежандра i-ой степени. Выражения для полусферических потоков (в относительных единицах S) рассеянной радиации внутри слоя большой оптической толщины имеют вид :
(2.2.19)
где
Учитывая разложение (2.2.18), для величин i, i, в монографии получены выражения
(2.2.20)
Величина полного потока солнечной радиации и отношения полусферических потоков внутри слоя описываются выражениями , , :
(2.2.21)
Величины b и b() называют внутренним альбедо полубесконечной атмосферы и атмосферы конечной оптической толщины; причем b = 1 – 4s + 8s2, а величину b() можно получить из измерений или из расчетов полусферических потоков на уровне .
Приведенные формулы позволяют рассчитать интенсивность или потоки рассеянной солнечной радиации внутри однородного оптически толстого слоя достаточно далеко от границ слоя, там, где выполняется асимптотический режим.
Случай консервативного рассеяния
В отсутствие истинного поглощения по определению 0 = 1, и тогда выражения для характеристик радиации имеют особенно простой вид , : для коэффициентов отражения и пропускания :
(2.2.22)
для полусферических потоков радиации в относительных единицах S:
(2.2.23)
и, наконец, простое выражение для полного потока радиации , которое обобщает обе формулы (2.2.23) и выполняется на любом уровне в консервативно-рассеивающем слое, потому что в консервативной среде поглощения радиации нет, и полный поток постоянен
(2.2.24)
Интересно отметить, что в полубесконечной консервативно рассеивающей среде на большой оптической глубине выполняется соотношение F(,)=F(,)=u0(), откуда становится понятен физический смысл функции u0(), часто встречающейся в настоящем рассмотрении. Случай чистого (консервативного) рассеяния осуществляется в некоторых облачных слоях в отдельных длинах волн видимой части спектра и обеспечивает приемлемую точность в более широких пределах оптической толщины (03), чем формулы (2.2.3) и (2.2.20) выведенные с учетом поглощения радиации. Соответствующие выражения для радиационных характеристик внутри облачного слоя имеют вид , [1],
для интенсивности рассеянной радиации:
(2.2.25)
для нисходящего и восходящего полусферических потоков рассеянной солнечной радиации:
(2.2.26)
Формулы для характеристик радиации для консервативного рассеяния можно применять для грубых оценок и в случае очень слабого поглощения в среде, но погрешность расчета быстро возрастает при усилении поглощения. И тогда при вычислениях, требующих определенной точности, необходимо использовать соответствующие выражения, учитывающие поглощение радиации в среде.
Случай облачных слоев произвольной оптической толщины
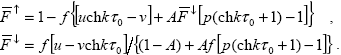
Оптическая толщина облачных слоев в некоторых случаях не удовлетворяет области применимости представленных выше формул, и их применение приводит к значительным погрешностям. Тогда необходимы другие подходы. Из аналитических методов, используемых при расчетах потоков радиации в случае малой оптической толщины необходимо упомянуть двухпотоковые методы Эддингтона и дельта-Эддингтона . Эти методы представлены простыми формулами и обеспечивают вполне приемлемую точность для широкого набора величин, описывающих рассеивающую среду, но они являются приближенными. Кроме того формулы Эддингтона, как и формулы других аналогичных двухпотоковых методов, весьма громоздки для обращения и аналитического решения обратной задачи. В работах , и в монографии развит математически строгий метод и получены формулы для расчета потоков радиации, выходящей из слоя произвольной оптической толщины на его верхней и нижней границах, при почти консервативном рассеянии. При этом на величину истинного поглощения в среде накладываются более строгие, чем ранее, ограничения, а оптическая толщина 0 находится в пределах от 0,1 до 5. В случае отсутствия отражения радиации на нижней границе слоя потоки выходящей радиации описываются формулами :
(2.2.27)
Функции shk0 и chk0 обозначают гиперболические синус и косинус. Функции u(,0) и v(,0) определены в работах [11,19,20], здесь мы не будем приводить соответствующих выражений, для нас важно, что они зависят не только от косинуса зенитного угла, но и от оптической толщины слоя. Кроме того, неявным образом u(,0) и v(,0) зависят от индикатрисы рассеяния. В работах , значения этих функций представлены в таблицах для широкого набора аргументов и нескольких значений параметра индикатрисы рассеяния g.
Для учета отражения радиации на нижней границе облачного слоя необходимо ввести функции p(0) и q(0), следуя работам , ,
(2.2.28)
причем для этих функций выполняется соотношение p(0)+q(0)=1. Аргументы у функций u(z,0), v(z,0), p(0) и q(0) будем в дальнейшем опускать. Выходящие из облачного слоя потоки при наличии нижней границы с альбедо A описываются формулами :
(2.2.29)
Эти соотношения могут оказаться полезными для вычисления потоков радиации в случае рассеивающих слоев произвольной оптической толщины, и они могут быть применены, например, для исследования перистых облаков или безоблачной атмосферы.
Литература:
Dlugach J. M., Yanovitskij E. G.,
The optical properties of Venus and Jovian planets. II. Methods and results of calculations of the intensity of radiation diffusely reflected from semi-infinite homogeneous atmospheres,
Icarus, 1974, Volume 22, Issue 1, Pages 66-81,
DOI: 10.1016/0019-1035(74)90167-5.
Annotation
An efficient method is proposed for computation of the intensity of radiation diffusely reflected from a semi-infinite homogeneous atmosphere with arbitrary phase function. We present the results of calculations of the brightness distribution over the disk of a planet when the phase angle α = 0, as well as spherical and geometrical albedos and other auxiliary functions. The calculations are carried out for the Rayleigh and the Henyey-Greenstein phase functions with g = 0, 0.5, 0.75, 0.8, 0.85, 0.9 and single scattering albedo λ = 1, 0.999, 0.995, 0.99, 0.98, 0.95, 0.9, 0.8, and 0.7. The curves of dependence of center-of-disk reflection coefficient and geometrical albedo of a planet upon spherical albedo were found to differ slightly for different phase functions. Using these dependences and results of spectrophotometric observations of the reflection coefficient for the center of disk of Saturn and geometrical albedo of Uranus, the integral (radiometric) albedo of these planets is estimated (0.50 ± 0.03 and 0.37 ± 0.05, respectively). The corresponding effective temperature is Te = 76 ± 1° for Saturn and Te = 57° ± 1° for Uranus.
ICARUS is the official publication of the Division for Planetary Sciences of the American Astronomical Society and is dedicated to reporting the results of new research - observational, experimental, or theoretical - concerning the astronomy, geology, meteorology, physics, chemistry, biology, and other scientific aspects of our Solar System or extrasolar systems.
As the world’s leading publisher of science and health information, Elsevier serves more than 30 million scientists, students, and health and information professionals worldwide.
We are proud to play an essential role in the global science and health communities and to contribute to the advancement of these critical fields. By delivering world-class information and innovative tools to researchers, students, educators and practitioners worldwide, we help them increase their productivity and effectiveness. We continuously make substantial investments that serve the needs of the global science and health communities.
King M.D.,
Number of terms required in the Fourier expansion of the reflection function for optically thick atmospheres,
Journal of Quantitative Spectroscopy and Radiation Transfer, 1983, Volume 30, no. 2, Issue 2, Pages 143-161,
DOI: 10.1016/0022-4073(83)90096-1.
Annotation
Computational results have been obtained for the separate terms in the expansion of the reflection function of an optically thick, conservatively scattering, atmosphere composed of cloud particles. The computations were obtained by successive applications of the invariant imbedding, doubling and asymptotic fitting methods to cover the range from very thin to very thick atmospheres. Results are presented which illustrate the magnitude of the separate terms in the Fourier expansion of the phase function and the Fourier expansion of the reflection function of a semi-infinite atmosphere as a function of the zenith angles of incidence and reflection. The azimuthally independent reflection function is enhanced by as much as a factor of 115 over the first-order reflection function, whereas the azimuth-dependent reflection functions generally result from less multiple scattering. These results are compared with those for an atmosphere having a Henyey-Greenstein phase function with the same asymmetry factor (g = 0.84123) as in the cloud model. The relative difference in the escape function and azimuthally independent reflection function is generally less than a few per cent, though differences up to 70% occur in the reflection function at angles where single scattering is important. Results are also presented which show the number of terms required in the Fourier expansion of the reflection function to be assured an accuracy of 0.1%. The number of terms required depends strongly on the zenith angles of incidence and reflections as well as on details of the phase function.
As the world’s leading publisher of science and health information, Elsevier serves more than 30 million scientists, students, and health and information professionals worldwide.
We are proud to play an essential role in the global science and health communities and to contribute to the advancement of these critical fields. By delivering world-class information and innovative tools to researchers, students, educators and practitioners worldwide, we help them increase their productivity and effectiveness. We continuously make substantial investments that serve the needs of the global science and health communities.
Mishchenko M.I., Dlugach J.M., Yanovitskij E.G., Zakharova N.T.,
Bidirectional reflectance of flat, high-albedo particulate surfaces: an efficient radiative transfer solution and applications to snow and soil surfaces,
Journal of Quantitative Spectroscopy and Radiation Transfer, 1999, Volume 63, Issue 2, Pages 409-432,
DOI: 10.1016/S0022-4073(99)00028-X.
Annotation
We describe a simple and highly efficient and accurate radiative transfer technique for computing bidirectional reflectance of a macroscopically flat scattering layer composed of nonabsorbing or weakly absorbing, arbitrarily shaped, randomly oriented and randomly distributed particles. The layer is assumed to be homogeneous and optically semi-infinite, and the bidirectional reflection function (BRF) is found by a simple iterative solution of the Ambartsumian's nonlinear integral equation. As an exact solution of the radiative transfer equation, the reflection function thus obtained fully obeys the fundamental physical laws of energy conservation and reciprocity. Since this technique bypasses the computation of the internal radiation field, it is by far the fastest numerical approach available and can be used as an ideal input for Monte Carlo procedures calculating BRFs of scattering layers with macroscopically rough surfaces. Although the effects of packing density and coherent backscattering are currently neglected, they can also be incorporated. The FORTRAN implementation of the technique is available on the World Wide Web at http://www.giss.nasa.gov/crmim/brf.html and can be applied to a wide range of remote sensing, engineering, and biophysical problems. We also examine the potential effect of ice crystal shape on the bidirectional reflectance of flat snow surfaces and the applicability of the Henyey–Greenstein phase function and the δ-Eddington approximation in calculations for soil surfaces.
As the world’s leading publisher of science and health information, Elsevier serves more than 30 million scientists, students, and health and information professionals worldwide.
We are proud to play an essential role in the global science and health communities and to contribute to the advancement of these critical fields. By delivering world-class information and innovative tools to researchers, students, educators and practitioners worldwide, we help them increase their productivity and effectiveness. We continuously make substantial investments that serve the needs of the global science and health communities.